近期,我校汪文龙研究员团队在催化NO加氢制NH3取得研究进展,相关成果以“Highly efficient hydrogenation of NO to NH3 via a Fe2O3/TiO2 catalyst”为题发表在催化领域一区TOP权威期刊《Chinese Journal of Catalysis》。该论文第一单位为sunbet申搏,兰州大学、石河子大学是合作单位,博士后李彦琴是该论文的第一作者,汪文龙研究员、李泽龙研究员和于锋教授为通讯作者。

氮氧化物(NOx)作为大气的主要污染物,不仅危害生物体的健康,还会破坏生态环境系统。为了缓解环境污染,目前已开发了多种NO消除技术,其中选择性催化还原NO(NH3-SCR)因其脱硝效率高、过程相对简单、清洁而成为最成熟、最可靠的脱硝技术之一。然而,NO本身作为一种含氮分子,是一种更具活性和经济可行性的氮资源,相较于直接通过NH3-SCR技术将其转化为N2排放,若能利用绿色氢能(H2)将其催化转化为NH3,既可实现污染物治理,又能完成高附加值含氮化学品的可持续合成。因此,设计一种既能高效去除NO又能实现其加氢合成NH3催化剂对缓解环境污染和能源危机至关重要。
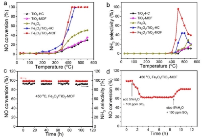
本文结合水热和浸渍法制备了一种新型Fe2O3/TiO2-MOF催化剂,并用于催化NO加氢制NH3。该催化剂在450 °C,0.1 MPa和38000 mL·g–1·h–1的气体空速条件下,具有99%的NO转化率和95%的NH3选择性。此外,该催化剂还表现出优异的稳定性和耐水、耐硫性能。通过H2程序升温还原、NO程序升温脱附和原位红外光谱结果表明,Fe2O3/TiO2-MOF的优异活性归因于Fe2O3和TiO2之间的强相互作用,这有助于在反应条件下产生用于NO吸附和活化的Fe2+活性位点。密度泛函理论计算表明,在Fe2O3/TiO2-MOF表面上的NO活化后,在氮末端发生氢化,从而进一步加氢生成NH3。此外,探索了NO加氢生成NH3的反应途径,证实了该过程的热力学可行性。

催化性能评价
综上,本文采用金属有机框架(MIL-125)衍生的MOF作为载体,合成了Fe2O3/TiO2-MOF催化剂并高效催化NO选择性转化NH3,此反应的关键是Fe2O3和TiO2-MOF之间的相互作用,在反应条件下产生用于NO吸附和活化的Fe2+。本文为合理设计NO加氢合成NH3催化剂提供了新思路。

图文摘要
文章链接:https://www.sciencedirect.com/science/article/pii/S1872206724602512?via%3Dihub
撰稿:李彦琴;一审:汪文龙;二审:詹春燕;三审:李长平